This variety creates a problem for gematria encryption because the changing of a single letter alters
the letter-count and therefore throws out the numerical signature. If Marlowe was
writing under a pseudonym (after a faked death) but wished to record his authorship
by means of gematria, we need to know which spelling variant he used.
The only undisputable evidence of his usage comes from a single signature which
he wrote as a witness on the will of a Canterbury citizen, Katherine Benchkin in 1585.
Here he spelled his name Christofer Marley. However, this does not imply it was the only form he used.
The standard spelling today, Christopher Marlowe, appeared on his first published play,
Dido Queen of Carthage (1594), and was used in official correspondence around the time of his
arrest and just before his ‘murder’ (or disappearance). The Marlo/Marlow/Marlowe versions
also predominate on his published poems and plays. In the baptismal register, he was
christened Christofer Marlow.
The Preferred Spelling
With regard to discerning the variant he used in
his literary work, two considerations arise. Firstly, Marlowe was a very highly educated poet with a deep and searching interest in
occult philosophy. At that time, sacred numerology was the pre-eminent occult science. Therefore the numerological properties of his
name’s spelling would have been an issue of the utmost significance to him. A second identifying factor derives from the evidence of
meaningful numerical patterns which can be found and clearly demonstrated in his poetry through techniques of cryptanalysis.
1. Numerological Considerations
Marly – value 531. The first four perfect numbers sum: 1 + 6 + 28 + 496 = 531. Actually a near miss: the problem is that 1, although
the most perfect of all numbers, is not technically a ‘perfect number’. The sequence should start at 6.
Christopher Marly – value 1024. This is 32 squared and an evenly even number – it can be progressively halved down to 1. You will notice all
the halvings produce numbers familiar as amounts of computer memory on mobile phones and computers. 1024 is a very significant
number, but in some respects its extreme divisibilty makes it weak. The name is also significant linguistically: it means ‘earthy’.
It can therefore represent one side of his nature, but not the highest.
Christofer Marley – value 967. Prime number. No other obvious significance.
Christopher Marley – value 1029. The first seven magic squares: 15 + 34 + 65 + 111 + 175 + 260 + 369 = 1029. Interesting, and ‘magical’ but not
exceptional in any other way.
Kit Marlo – value 300. It’s a great number: 3 x 100 and the 24th triangular number. The value of Greek ‘T’ – tau, meaning cross. It has excellent
properties, but it is short, simple and obvious – therefore not necessarily the perfect handle for a cryptographic genius.
Christopher Marlo – value 674. This spelling is the obvious transliteration of the
most credible Greek rendering of his name, Χριστοφερ Μαρλω.
The latter has a value of 2856 (another significant number) and 674 is geometrically related to 2856: a 674 perimeter
pentagon
lies at the heart of a 2856 pentagram. It is a neat coincidence and cannot be disregarded.
Kit Marlow – value 1200. Nice round number and 12 x 100. Cool, like 300 for Kit Marlo.
Christofer Marlow – value 1512. Equated with Αποκάλυψις (Revelation) and not much else.
Kit – value 119. This is also the value of ‘Kit Marlowe’ in the ‘S’ code, which is neat. Psalm 119 is very significant – it is the longest chapter
in the Bible and it is the most famous example of acrostics in all literature.
Kit Marlowe – value 1205. Numerically insignificant, but important
in the Sonnets through a gematria equivalence with the words, ‘My love’.
Master Kit Marlowe – value 1511. Equated with QVOD ME
NVTRIT ME DESTRVIT and Το ροδον + ο σταυρος (the rose + the cross). 1511 was also the year
HC Agrippa, a key Rosicrucian brother, was in England. These are relevant connections for his portrait, but with insufficient
numerological scope for the more ambitious project undertaken in Shakespeares Sonnets.
Christopher Marlowe – value 1579. This is a prime number and a
significant year in the poet’s life, when he had his 15th birthday. Being prime,
it is a ‘strong’ number.
The four digits sum as 1 + 5 + 7 + 9 = 22. This symbolises completeness on account of the
number of
letters in the Hebrew alphabet. Also the 22 letters of the Hebrew alphabet make up the acrostic pattern in Psalm 119, and we
saw above 119 is significant as it counts the names ‘Kit’ and ‘Kit Marlowe’ by two different codes. Additionally, Plato regarded 22 as ‘the number
of the soul’.
In terms of esoteric numerology, 1579 is highly significant as a perfect sequence of the single-digit ‘odd’ numbers,
minus the second: 1 + 3 + 5 + 7 + 9. In this respect, 1579 represents perfection with one piece missing – just like the
Great Pyramid with its missing capstone.
If you take 1579 from the perfect sequence 13579, the result is 12000 – another number symbolising completeness. The missing 3000 in the number
13579 is itself an important figure related to King Solomon’s temple. The building was completed in the year 3000 (Annus Mundi)
according to Scottish Rite Freemasonry – all complete apart from its missing cornerstone.
1579 also has remarkable properties in relation to the number 19. This is important in one regard because 19 symbolises the Sun, as the giver
of light. There are several reasons for this, but one of the more obvious is that Psalm 19 addresses the glory of the sun.
1579 can be viewed as 57 (which is 3 x 19) sandwiched inside 19: 1-57-9. At that time, 19 represented the letter ‘T’ because it was the 19th
letter of the alphabet. Therefore 57 symbolises a triple ‘T’ – or a ‘Triple Tau’. What is more, this Triple Tau is hidden within
the fourth ‘T’ (19). The Triple Tau with its mysterious fourth member is the symbolic key to the Royal Arch degree of Freemasonry.
The late (and greatly missed) Alexander Waugh made a number of excellent YouTube videos demonstrating this Triple Tau symbolism in the dedication
to Shakespeare’s Sonnets. The structure of the three dedication verses gives the pattern 6-2-4, and accordingly the words in that
numerical sequence reveal the message: ‘THESE SONNETS ALL BY EVER THE FORTH T’. Waugh’s only blunder was to fall into the trap of
thinking the word ‘EVER’ portended Edward de Vere. The true interpretation can only be understood in the context of the number
1579 – hence Christopher Marlowe. The gematria value of EVER is 790. A clue that this is pertinent comes because 7902 is 624,100
– thus linked to the 6-2-4 sequence. More importantly, it happens that the product of 790 and 1579 is 1,247,410, which is the
1579th ‘triangular number’ (yes, the creator of the Sonnets was a maths nerd). The triangular numbers are symbolised by the letter
‘T’. So, the word EVER is the key to the key. Hence the hidden message of this code in the dedication is, ‘These sonnets all by
1579’ – which is to say, ‘These Sonnets were written by Christopher Marlowe, the first Royal Arch Freemason’.

A further refinement comes because the gematria total of the whole message ‘THESE SONNETS ALL BY EVER THE FORTH T’ is 2313. This equates it with
the Masonic expression, Invenies Verbum In Ore Leonis – 'You will find the Word in the Lion’s Mouth'. This signifies the lost
(pass)word of the Master Mason – it was lost when Hiram Abif was slain by three ruffians. These days, the Word is recovered
in the 13th degree of the Scottish Rite, known as Royal Arch of Solomon. The lost word is a missing thing like the lost cornerstone
of the Temple, the lost capstone of the Great Pyramid and the lost 14th part of Osiris’ body. This Word is actually encoded in
the Sonnets – but that is too large a digression to enter into here.
2313 would also appear to be significant as the value of two quotations from the New Testament. Firstly, it points to, και η αληθεια ελευθερωσει
υμας – 'and the truth shall make you free' (John viii, 32). The truth about the authorship of the Sonnets will make its missing
author, Christopher Marlowe, free. Secondly, comes the expression, ὅτι ἐν πυρὶ αποκαλύπτεται – 'because it shall be revealed by
fire' (1 Cor., iii, 13). Here the thing which is revealed by fire is a spiritual building – ‘Know ye not that ye are the temple
of God?’ Building a spiritual temple is the grand Masonic project. Shakespeare’s Sonnets is a piece of spiritual architecture –
an everlasting temple.
The dedication to the Sonnets holds a related piece of symbolism because Marlowe is also linked with the archetypal Master Mason, Hiram Abif.
The name Hiram may even have been selected as a cipher for Marlo(we). In ‘The Craft’, passwords are traditionally disguised by being ‘halved’
and ‘lettered’. Thus, if you ‘halve’ Hiram and reverse the components, you find: Hi becomes Lo and Ram becomes Mar, so Hiram is a disguised
rendering of Marlo(we). We see that when the letters of the Sonnets Dedication are put in a 16 x 9 grid, the name HIRAM appears as a straight
line diagonal – and it is interlaced with the name MARLO.
The numbers 3 and 19 are also uniquely related to 1579:
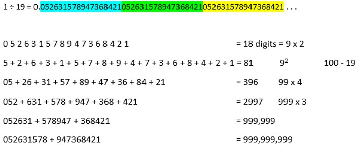
3 ÷ 19 = 0.1579 19 x 1579 = 30,001 192 x 1579=570,019
The reciprocal of 19 is extremely significant in esoteric terms because of its numerical relationship to 9 – the final (odd) digit and 32.
You will notice there are 18 recurring digits in the reciprocal:
These 18 digits in the reciprocal also have an esoteric correspondance with the 18 letters of the name
Christopher Marlowe. When laid together, the digits summed with their ordinal positions create
four 19s, and hence the value of four letter ‘T’s:
What is even more interesting is that this breaks down as 19 + 57 from the sum of the digits and the sum of their
ordinal positions:
        9 + 7 + 2 + 1 = 19
10 + 12 + 17 + 18 = 57       (19 x 3)
Finally, we can see that the digits of the reciprocal generate 1579 when divided by a string of fourteen 3s:
526315789473684 ÷ 33,333,333,333,333 = 1579    (1578.95 rounded up)
All in all, 1579, the gematria value of ‘Christopher Marlowe’, is of great interest from a numerological and Masonic perspective.
It also has the all-important cryptographic virtue of being discreet. Those not ‘in the know’ (i.e. ‘cowans’ and
the profane) were very unlikely to tumble its significance.
2. Cryptographic Considerations
The second consideration concerns direct evidence in the Sonnets. This follows my hypothesis that Marlowe wrote
the Sonnets and encrypted his name in them by means of acrostics and gematria. If correct, it implies that one form
of his name would be most strongly favoured. In my cryptanalysis of the Sonnets, I therefore focussed great attention
on those lines where the numbers of his name cropped up. At these places I looked for the presence of anomalous patterns.
This follows the underlying technique of all forms of code-breaking.
As those who have read my book will know, I found very strong evidence that line 1579, which is the tenth of Sonnet 113, embodies
symbolic importance for Marlowe as the author and lies at the centre of several hidden patterns. Subsequently, when I
discovered the ‘Kit Marlowe wrote this’ acrostic, it was immediately apparent the number 1579 was the key to explaining
the otherwise irregular form of the message. When you read my book, I think you will agree the evidence proving this correct to be irrefutable.